Bass' Model
Single Peak Theory
Simpler & Quantitative

-
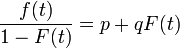
Where:
f(t) is the rate of change of the installed base fraction
F(t) is the installed base fraction
p is the coefficient of innovation
q is the coefficient of imitation -
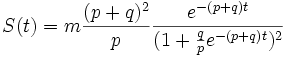
Sales S (t) is the rate of change of installed base f(t) (i.e. adoption) multiplied by the ultimate market potential m:
Application
-
The coefficient p is called the coefficient of innovation, external influence or advertising effect. The coefficient q is called the coefficient of imitation, internal influence or word-of-mouth effect.
-
Typical values of p and q when time t is measured in years:
-
The average value of p has been found to be 0.03, and is often less than 0.01
-
The average value of q has been found to be 0.38, with a typical range between 0.3 and 0.5
-
A case of a commodity is as follows.

Comments on Its Validity
-
Theory Development
-
Mixed up "Promoters" and "Adopters"
-
"Word-of-mouth" is Today's "Experience" and Wu's "Social Belief" that is a Widely Perceived "External Factor"
-
Adoption Is Sales (Dollars/Units)?
-
Products’ Characteristics Do Not Matter?
-
Methodology
-
Data Manipulation and Its Consistency?
-
Single Peak?
-
Bass's Bad Cases/ Twin Peaks?
-
Statisticians without Empirical Study



