Advanced Key Concepts in Calculus
神掌打通任督二脈‧易筋經以簡馭繁:本頁不是教科書,不是推導演算,而是以類似的生活例子,解說抽象 的概念,從而達到會應用微積分的目的。
符號意義:
統雄快訣
延伸閱讀
進階議題
警示訊息
進階:超越(transcendental)函數
在微積分基礎篇中,討論的都是「代數函數」(與其對應的幾何觀念),亦即以加、減、乘、除、乘冪、開方為函數呈現方式的問題。
超越「代數函數」的函數問題,就稱為「超越函數」,包括:三角函數、對數與指數函數、雙曲函數、多變項函數、極座標函數,與其他更多可能發展的形式。
對以統計為主軸的本系列講義而言,本篇主題可以全部列為「進階」。但如果要澈底思考人類行為的非線性現象(指數函數),與建構更完整具備基礎性的「第3類知識」,三角函數與其更進階的雙曲函數,實扮演更關鍵的角色。
三角函數
Trigonometric Functions

觀念與計算斜率方法與上同,重點在:

幾何解:http://www.themathpage.com/atrig/sum-proof.htm
微分解:http://www.maa.org/pubs/Calc_articles/ma006.pdf
Java示例:http://www.ies.co.jp/math/java/trig/kahote/kahote.html
對數與指數函數
對數與指數函數是以漸進的方式,討論以下3種函數的關係:倒數函數(Reciprocal Function或 Multiplicative inverse)、對數函數(Logarithmic Function)與指數函數(Exponential Function)。
倒數函數 Reciprocal Functions
以下為倒數函數:

其函數圖形如下:

如果導數為倒數函數,按照指數規則,無法求其反導數,因其分母將為0。
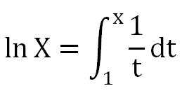
微積分第一基本定理 Fundamental theorem of calculus, First part
故,欲求倒數函數之反導數,必須應用微積分第一基本定理 Fundamental theorem of calculus, First part
即:對反導數微分,得導數;(緣於,對導數積分,得反導數)。

其中定積分的上限設為 x,為了避免混淆,所以導數設為 f(t),而 f(x) 即導數 =

自然對數函數 Natural Logarithmic Functions
當倒數函數之 X>0 侍,定義「自然對數函數」是一個特殊的人為定積分函數,可取得導數等於 1/x 之反導數,也就是處理斜率以 1/x 方式漸增的現象。

對數函數可能通常以時間為橫軸,故常以 t (time) 為變項符號。
其函數圖形如下:
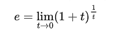
自然對數的底數e The Number e
e 是什麼意思?
當 ln x = 1 時,x ≒ 2.718 ,我們令其值為 e 。且 ln x = 2 時,x ≒ e2 ...同理類推。
e 的值:

同時, e 正好滿足以下的極限:

同理,e 也滿足以下的極限:

對數計算規則

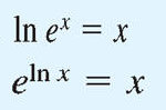
自然指數函數 Natural Exponential Functions
定義「自然指數函數」是「自然對數函數」的反函數。

所以,指數函數與對數函數互為反函數:

兩者函數關係圖形如下,上方為 Y = ex :

指數函數與對數函數兩者的反函數關係:
一般底數的指數
指數函數最重要的性質之一,就是以任意正數 a 為底的指數,都可以用自然指數表示。亦即,所有指數函數,皆可以標準化為自然指數函數而更易於分析。
|
指數函數的應用,常見者有「指數成長模式」和「供需成長模式」。
指數成長模式 Exponential Growth

供需成長模式 Logistic Growth
是各種S-型成長模型的基礎模型。
這項定義公式有點難懂,其實是由對「勝算比(odds ratio 簡稱 odds)」取對數,再展開、移項而得的。
本項模式原始是從研究人口 (population) 而來,後來延伸到生態、醫藥及其他方面的應用。
Logistic一詞一般譯為「供需」,依據發明者Pierre François Verhulst解說,應有「承載」的意義,
其標準化函數圖形(以 -6 < t < 6 區間為例)如下:
1
e-t 為與 et
以 Y 軸對稱的曲線,
因 e-t > 0,故 0 < P(t)
< 1
當 t = 0 時, e-t = 1 ,故 P(t) = 0.5
左側 t 愈小時, e-t 愈大、其倒數 P(t) 愈小;右側則反之。
Logistic Growth
在統計上的應用
常態分配的積分,亦即其PCF,會形成 Logistic Growth 曲線。
Logistic 迴歸/對數迴歸:當自變項為類別資料,尤其是二元資料時相關理論的迴歸分析方法。
雙曲函數 Hyperbolic Functions
雙曲函數處理雙曲線(x2 - y2 = 1) 的衍生問題,所以也叫圓函數(Circular Functions),呈現方式類似三角函數。曲線上的點,定義由雙曲正弦函數「sinh a」和雙曲餘弦函數「cosh a」表示(如下圖),從它們可以導出雙曲正切函數「tanh」等等。其中的推導也類似於三角函數的推導。雙曲函數的反函數稱為反雙曲函數,例如雙曲正弦函數的反函數是「arsinh」(也叫做「arcsinh」或「asinh」),以此類推。雙曲函數可以描述許多統計曲線,其實是澈底研究行為統計的基礎。

雙曲函數在應用上可以用指數函數表示,因 ex 正好為 sinh x 與 cosh x 之和。
其定義公式如下:
sinh x 與 cosh x 與指數函數關係的圖形如下:
![]() |
![]() |
cosh x 即 ex 與 e-x 和之平均。 |
sinh x 即 ex 與 e-x 差之一半。 |
6種雙曲函數的圖形如下:
|
|
偏微分
Partial Derivative 與多變項模式
以上都是「常微分」亦即只有1個自變項;另有「偏微分」,即有2個以上自變項,而分析其中只有部分變項變動的情形,而以
fx(對x偏微)、或以
(Rounded d)代替d表示偏導數。而對所有多變項微分,就是全(Total)微分。
偏微分只是把微分程序分階段進行,對某1變項微分時,就把其他變項視為常數。
譬如:對以下函數偏微分:
f(x,y)=x + y
對 x 偏微分即:
fx(x,y)=1 + y
理由:指數規則 f'(x)=x =1
同理:fy(x,y)=x +1
教科書為了交代仔細,寫得對初學者可能比較難懂,但結果和我的示範完全一樣。
偏微分在計算上較為繁複,但在概念上並無特殊之處。
我寫這一段,是因為我看過一位國際院士級的經濟大師,寫一篇文章盛讚某一經濟理論使用了偏微分。他的發言應也代表了同級「國際院士級的經濟大師」對微積分的認識。
多變項模式在自然、生理、行為上是常見的現象,偏微分在研究工作層次上,其實是基本能力。
這也印證我的觀察:在「社會相信」「集體行為」作用下,當前投入「人文社會行為研究」的人士,有相當比例並不是「對人文社會行為研究有興趣」,而是「對數學、計量方法沒興趣」。不論是否國際級、大師級,都是一樣。
但人類行為研究的計量方法,其實比自然、生理研究還需要深入。所以,我主張:所有「人文社會行為研究」的基礎理論必須重新探討、重新確認。
深入思考:微積分與行為研究-以經濟學為例
在知識光譜中,「物理知識-微積分」「生理知識-統計」均已有相當健全的基礎理論與計量方法,但「第3類知識:人類行為知識」呢?
屬於物理測量工具的微積分,如果直接拿來測量人類行為,你有什麼看法?
如各種經濟指標多屬於指數成長模式,其基本型為:
物理環境可能存在 e 的條件,亦即在無限期數內,每期有自然的、規則性指數 β 比例的變動,如冷卻現象。
即使將基本模式複雜化,還是不能違背前提。
但人類行為呢?
統雄老師建議:在不考慮生息作用與意識型態作用,只觀察單一群體時,較佳的(即尚不是最佳的,統雄老師仍在尋找最佳者)一般取用基礎模式是:
y = tanh αx
x: 時間軸
α: 是「對新事物需求的2群人數分配」與「社會相信程度」的互動參數
而完整的思考,就是統雄老師發展中的 TX Adoption Modeling。
自我啟發
非常淺顯的微積分動態學習網站,可以玩一玩。
數學名詞與符號源起(Earliest
Known Uses of Some of the Words of Mathematics):版主是一位高中老師,證明對知識的熱情,是不受社會形象影響的。
統雄數學樂學/統計神掌易經筋-問卷


,x
= e






