t分配與t檢定
神掌打通任督二脈‧易筋經以簡馭繁
符號意義:
統雄快訣
延伸閱讀
進階議題
警示訊息
|
統計是一種逆向思想方法,無此認識、難以學通。 資料分析階段2卡:常態分配-中央極限定理(樣本平均數分配的Z檢定)。 立刻線上實作、立刻學會。 |
t分配
樣本 t分配,通常簡稱為 t分配,與常態分配密切相關,且是對「常態分配-中央極限定理/樣本平均數分配-統計顯著性考驗」程序的一種特殊情形處理。
亦即在不知母群標準差、且為小樣本時,若採用Z 檢定,會發生低估誤差的情形,而需改為以下公式。
樣本 t分配的定義公式為:

比較
樣本 Z 分配的定義公式為:

形式上和樣本平均數的分配一樣,只是有2項差異:
不知母群標準差
則母群 σ,換成樣本標準差s 計算;
適用小樣本
t 檢定適用於小樣本,即30個樣本以下時。同時,n 雖同樣表示樣本數,但計算時,樣本數要改為「自由度(degree of freedom, df)」計算。
|
|
平均數 |
標準差 |
觀察對象,樣本 |
|
s |
(虛擬的)樣本分配的標準差 |
|
|
母群 |
μ |
σ (小團體或可知;公眾群體常為不知) |
作推論的參數(^ 在此表示 estimate of) |
|
|
母群-估計的區間 |
μ=
|
|
中央極限定理的功能:
t
檢定的自由度 (df)
t 的「自由度(df)」因為統計目的而不同,譬如:
估計考驗時,df=n-1
相關考驗時,df=n-2(因相關分析時有2組資料)
就數理統計而言,t分配是以下 Gamma 分配家族中的一個特例。
小樣本為30個樣本以下之由來
為何小樣本為30個樣本以下?
是因為當樣本為30個樣本以下時,t 值與 Z 值有相當差距,但樣本超過30後,兩者極為接近,沒有再特別採用t 檢定的必要。
![]() |
![]() |
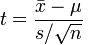
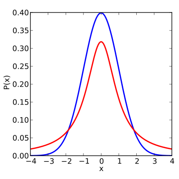
| df=1 即樣本數=2,藍線﹦常態分配,紅線﹦t分配。 | df=2 即樣本數=3,綠線為 df 變動的累積記錄。 |
![]() |
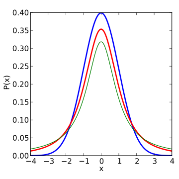
df=30 即樣本數=31,藍線與紅線已形成重疊。
t檢定:小樣本的檢定與適用性檢討
t分配主要是提供t檢定的應用,也就是小樣本(30以下)的顯著性考驗。對生物研究(如新藥效果),實務上有樣本數的限制,有其必要性。
統雄老師所建議的「知識光譜」論已說明:生理研究與行為研究對象的性質並不相同,對行為研究,200個以下的樣本沒有意義。而樣本超過30後,t檢定和常態分配檢定已趨近一致。所以,統雄老師建議,行為研究以常態分配估計、與使用F作差異分析即可,t檢定的重要性可視為不高。
人類行為實證調查研究,樣本200以下,宜視為習題;200以上,才具有知識探索價值。
t分配分配檢定,用手算也太複雜,所以練習也採用:
線上t分配計算器
比較常態分配,就是多1項自由度設定。
統計方法的選擇
統計方法的選擇,基於2大條件:
1.資料型態
2.理論類型
統計與理論建構篇
基本統計方法應用-SPSS篇





