Core Concepts & Practice in Calculus_1
90分鐘變牛頓
神掌打通任督二脈‧易筋經以簡馭繁:本頁不是教科書,不是推導演算,而是以類似的生活例子,解說抽象的概念,從而達到會應用微積分的目的。
符號意義:
統雄快訣
延伸閱讀
進階議題
警示訊息
為什麼統計的基礎是微積分?
統計是機率知識,處理的對象是「機率分配」,也就是各種曲線面積。
曲線面積是經由微積分處理所得。
如果不知道獲得曲線面積的原理,絕無可能真正了解統計。
為什麼對微積分有挫折感?
背公式、為考試,只有How(複雜計算),沒有Why(簡單原理)
太周詳,反而失去階段性、優先性
-所以,不完全是你的責任
-首先,要喚回你的信心
-同時說明什麼是「計量思想」、以數量解決問題
90分鐘內,一定有人從完全不懂,到會解微積分!
而且重點程度和伽利略、牛頓、愛因斯坦一樣!
…老師,有影嘛(真的嗎)?請看學長的反映…
|
當前社會科學人才培養過程,自高二就分流與數學脫節,進入大學後常有統計、卻沒有微積分。統計處理的各種「分配」與變異數,都是積分現象,如果無法真正理解其計量的基礎,只會造成使用統計軟體製造「垃圾進出(GIGO)」,所以統雄老師將微積分精華-易筋經-作為統計教學系列中,協助你打通計量研究任督二脈的第一神掌。
統雄老師的統計教學系列,第一步是請你立刻學會「計量的思想過程」。請讓統雄老師作你的導遊,重回快樂學習的樂園,請你驚喜:微積分真簡單!它是知識探險的工具,不是考試計算。統雄老師的講義有些陳述和教科書並不相同,目的是要簡化突顯概念,再看教科書就易豁然貫通;對外考試時,還是要採用教科書的陳述方式。
在多年的教學經驗中,我發現「微積分」和「英語」剛好是2個相對的學習體。英語是每個人一定會,但沒有人能夠「馬上會」。「微積分」和「英語」恰巧相反,要嘛「馬上會」、要嘛「永遠不會」。我多次作過教微積分和相關數學的實驗,只要一次教學單元、只要學生願意參考老師的學習建議,就可以把一群從來不知道微積分是什麼的學生,其中相當高比例的學生訓練會微積分,而且應用的能力和伽利略、牛頓、愛因斯坦一樣,真的是「微積分馬上會」!但學生如果不願參考老師、或其他數學思想家(不是計算、猜題老師)的意見,有些數學的抽象
觀念,有可能終身學不會。
1分鐘●知道微積分「是什麼」
要知道微積分是什麼?我歸納為3句話,不到1分鐘就說/讀完了:
1.斜率=長/寬,微分就是求斜率函數。
把以上公式移項:
2.長=斜率*寬,就是「求長」函數。
3.積分=總加「所有直線長度」,就是求面積函數。
積分公式前面的「大S」就是sum,即總加;「大S」後面的就是「求長函數」。
唯教科書是以「導數」「極限」來解釋微分,「求長函數」稱為「微分方程式」,直線必須稱為「碎片」,積分公式更具備可怕的形式。數學家用細瑣的術語陳述並沒有錯,因為要把這套思想應用到更抽象的層面,但他們不是教育家,沒有顧慮循序漸進的說明。
再1分鐘●知道微分值永遠「是多少」
任何函數/方程式均可化為以下形式:
f(x)= a xn + C
a 是係數,n 是冪/次方數;C 是常數。
則該函數/方程式之斜率函數/微分值一定為:
a nxn-1
90分鐘●知道微積分「為什麼」
背誦微積分很痛苦,發明微積分則很快樂。牛頓教我們,有無窮的好奇心,與一點點的耐心,你就能夠看見別人看不見的世界,解決無限曲折的問題。
2
個自變項以上的微分,請參閱《統雄-微積分神掌易筋經:微積分觀念精華與實作-進階-超越函數》。
為什麼微積分?
請問:根據教科書,牛頓對人類的最大貢獻是發現什麼?
地球重力,真的是牛頓發現的嗎?
Galileo 提出地動說後,大家不相信…
地球如果在轉,人為什麼不會飛出去?
Galileo 再提出滾球實驗
他設計了一個斜坡,使用1顆球(綠色),由坡道上滾下去。
左側是1個水鐘,鐘擺每來回擺盪一次,計一個時間單位。
斜坡上的紅點,表示滾球每一個單位時間所滾的距離。

證明:在相同單位時間內,球滾的距離卻愈來愈長,這就是「看不見而存在」往下拉的作用-地球重力。
但是,這種抽象 的思考,大家-包括頂尖大學、傑出學者(包括寫牛頓傳記的名家)-還是看不懂、想不通…Galileo含恨去世。
如果你現在認為是重力,請深切檢討:你是真的知道原因與證據,還是因為:書上說、老師說、有名人說、大家說…的形成的社會相信。
「如果地球是圓的,我們怎麼能站在上面呢?」
國際名人、NBA冠軍、頂尖大小「杜克大學」畢業的厄文,在2017年說:「地球是平的 學校在騙我們」。勇士隊名將卓雷蒙:「厄文的理論似乎點醒我了,如果地球是圓的,我們怎麼能站在上面呢?」
後來,牛頓想到證明的計量方法
如果有一種方法,可以分析球速的變化有一定規則的話,那個規則就是「看不見而存在」的力量-後來他命名為重力。
畫出實驗中時間與距離的曲線。
球滾的距離為「速度×時間」,而每單位時間的速度不同,所以每單位會形成非對稱的上升曲線,曲線下的面積,就是總距離。可是,當時沒有人會處理非對稱曲線、長度不固定的面積的問題。
面積是「Y*X」的乘法,而乘法是除法的相反;如果乘法不會算,是否能夠算除法呢?
牛頓又想:速度=「距離
y/ 時間 x」,y/x 就是斜率,如果可以測量線上的切線斜率,就可以得知速度如何變化。而切線又是割線變動的現象,所以由割線入手,設Δ表示球移動的量,則:當Δ縮小趨近於0時,該割線可以視為為過1點的切線,從而求得斜率。

牛頓因此發現微分方法,稱求得各點斜率的函數為導函數,簡稱導數;而進一步即可知長度與面積,印證Galileo的實驗是可預測、實證的知識。
譬如,設存在函數 f(x)= 2x
以 f'表示導數,則 f'(x)= [2(x + Δx) -2x] /Δx =2
未知數自然會前後相減、上下相消,真是數學的美妙啊!
牛頓不講,我們自己想得出來嗎?
我當年看到這裡,忍不住從椅子上跳起來拍頭打腿,你曾享受過這種知識的愉悅..嗎?
斜率是「長/寬」,稱為微分;若已知斜率與寬,可反推「長」﹦「斜率×寬」之積;所有垂直線的總加,就是曲線面積,就稱為積分。
此斜率為函數,稱為導函數,積分的函數則稱為反導數。
所以,微積分的
目的:解決一個非對稱曲線現象的問題。
原理:可以從觀察函數各點的斜率(導數),達到推求始函數下面積的結果。
如果你和我一樣:生在貧困時代、偏遠地區、鄉鎮內根本沒有初中,什麼也沒學到…
小時候就只會唱田邊的歌謠:1隻青蛙 4條腿、2隻青蛙 8條腿。
如果我們不知道第一句,不知道1隻青蛙 4條腿,有人問我們,6隻青蛙有幾條腿?怎麼辦?

因我們知道2隻青蛙 8條腿,我們就先用除法,8除2得4,便可以知道1隻青蛙有4條-求商(微分)。
知道每隻青蛙有4條腿,再總加6次,就可以知道有24條腿(積分)。
微分的計算 Differential Calculus
一本微積分通常都在700頁以上,前面半部都在講以下運算:
常數規則、倍數規則、和差規則、與指數規則。
極為巧合的是,微分前3項規則,觀念和代數運算完全一樣。
註:以下前3項是統雄老師以類代數的概念解說,不是教科書的證明公式
常數規則
常數的座標為 (X, 0) ,亦即所有常數的 Y=0。
而斜率﹦Y/X 故對常數微分,其值為 0。
f'(c)=0 (c=b/a, if b=0, then c=0)
如:f'(1)= 0
倍數規則
f'(cf(x))=cf'(x) (if b=(cx), then b=c(x))
如:f'(2x)= 2f'(x)
和差規則 Sum and Difference Rule
f'(a+b)= f'(a)+f'(b) ((a+b)=(a)+(b))
如:f'(2x+1)=f'(2x)+f'(1)
|
指數規則:是唯一的門檻-也是微積分唯一的抽象觀念:趨近於0等於0。
若函數為:
f(x)= xn
則對該函數微分之導數為:
f'(x)= nxn-1
導數係數﹦函數係數×指數;導數指數﹦函數指數-1
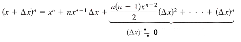
看起來很玄,其實就是利用高中的二項式定理,代入定義公式,其分子部分第一項為:

定義公式分子第二項為 -(xn),故分子頭尾可消去
中間各項再與分母Δx相消去,除第2項為 nxn-1,其他各項,仍有與Δx的乘積
因Δx≒0,故除第2項外,其他各項均為0
只剩 nxn-1
二項式定理●統雄神掌
(x+y)n 其冪數與係數的關係,其實很直觀。以冪數 0~5 為例,其係數會呈現以下三角形。

(x+y)0 =1
(x+y)1 =x + y
(x+y)2 =x2 + 2xy + y2
(x+y)3 =x3 + 3x2y + 3xy2+ y3
餘類推。
以上三角形是由17世紀的法國全人學者 Blaise Pascal 做成體系性研究與報告,故稱為巴斯卡三角形。但由於其邏輯與呈現相當直觀,所以世界各古文明,都曾大致發現,中華最晚在11世紀的北宋,就由數學家賈憲發現並記錄,原稿如下。
所以,什麼人都可以發現解決難題的方法,只要有無窮的好奇心,與一點點的耐心,你就能夠看見別人看不見的世界,解決無限曲折的問題。

如果你忘了高中數學…或是因為教育的分流制度,「不准」你學數學…
你就用初中的二次方程式:f(x)=x2 代入定義公式
f'(x)= [(x + Δx)2 -x2] /Δx
因為 (x + Δx)2 ﹦x2 + 2(x)(Δx) + (Δx)2
第1項 前後相減: x2 - x2 = 0
第3項 (Δx)2 ≒0
第2項上下相消,消去 Δx後是2x ,即x2 的nxn-1
同理便可推所有的次方:
f'(x)= 1
同前注
f'(x2)= 2x
f'(x3)= 3x2
f'(x4)= 4x3
對任意多項式
都能以「指數規則」形式表現
所以:
微分符號
不要被符號困惑
以下都表示微分後的函數:第3個尤其表現「長除以寬」的意義
微分後的函數特稱為導數(Derivative),求導數的過程稱為微分方法(Differentiation),簡稱微分。

|
積分的計算 Integral Calculus
微分成立,則存在積分-又特稱為求反導數。
其定義為:對反導數微分,可得已知導數,故逆推其值如下:

驗算如下:

積分指數﹦函數指數+1;積分係數﹦函數係數/(指數+1)
積分符號
除了用大寫的F(x)外,為了表現其為「導函數×寬﹦長」的「總和」,又有特殊符號,並可分:
不定積分:即積分函數
導函數為 f(x)
寬為 dx
前面的S型符號,就是總和(Sum)每個垂直線(長)的小面積,形成總面積的意思。
積分符號就是
「斜率函數 * 寬」= 長。而 S (sum) 就是所有「長」的總加。
定積分:1個數值
即積分函數圖形中,x=a到x=b之間的面積
對初學者非常困惑的是:在積分式中的
f(x),表達的是「被積函數」,其實對原始函數而言是導數,亦即是 f'(x) 的意思。而F(x)就是原始函數。
|

微積分第二基本定理 Fundamental theorem of calculus, Second part
微積分基本定理描述了兩個主要微分和積分之間的關係,稱為第一、或第二定理,也有文獻稱為定理第一、第二部分。以下是第二定理。
即總面積經分割後,其各分割面積之和為總面積,但表示式以總面積減去分割面積表現。
積分是1個集合
也可以推算特定區域面積,也就是「微積分第二基本定理」:
微分馬上會
對
f(x)= 2x+1
微分之導數為何?
依據和差規則: |
f'(2x+1)= f'(2x)+f'(1)
|
常數規則: |
f'(1)﹦0 |
倍數規則: |
f'(2x)= 2f'(x) |
指數規則: |
f'(x)= nxn-1 |
因為 n=1,所以 |
2f'(x)= 2 * [ 1 * x (1-1) ]= ? |
如果你是從頭,從理解概念而認識原理看到這裡,這題測驗,你根本不用算就知道答案了。為什麼?
|
|
|
積分馬上會
當
f(x)= 2x+1, b=3, a=1 之定積分為何?
先依據和差規則:F(2x+1)﹦F(2x)+F(1)
同前注
指數規則:
因為F(2x)變數x 之n=1, F(1)常數1 之 n=0
= 2*[x(1+1) /(1+1)] + 1*[x(0+1) /(0+1)] =x2 + x
你也可以試試,用視覺反推法。
即積分的指數﹦原始函數的指數+1
積分的係數﹦原始函數的(係數/原始函數的指數+1)
F(2x)﹦x2
F(1)﹦ x
將 b, a 值先後代入 x
b=3, F(b) = 32+3; a=1, F(a) = 12+1
F(b) - F(a) =?
|
變成牛頓的實證-自我測驗
請絕對、絕對不要問別人、看別人,這是你這一生自信的轉捩點!
對f(x)=4.9x2
微分之導數為何?
參考指數規則:f'(x)= nxn-1
如果你算出來 f'(4.9x2)=9.8x
請對
f(x)=9.8x
再一次微分,其導數為何?
如果你又算出來了 f'(9.8x)=9.8,
你就和牛頓一樣…為什麼?
--因為你算的,就是伽利略滾球實驗-牛頓自由落體距離函數的發現。(地球重力常數 g≒9.8 m/sec2,本題設初速、初距為0,所以以下的公式後2項為0)
牛頓發現如果把伽利略的實驗,改為自空中自由落下,落下的距離函數會是:

即每單位時間,落下距離的累積和,等於曲線下方的面積。
對距離函數微分,得到的是速度函數:
再對速度函數微分,就會發現一個常數,即地球重力:
不論作多少次實驗,都會有相同的常數,就是有一種穩定的加速力量-地球重力-的存在。也就是牛頓對人類最大的貢獻!
你已證明:你和牛頓一樣,發明了微積分,證明了地球重力的存在!
微積分易筋2神掌與2心經
如果1次式、2次式,你都算出來了,所有的多次式,你也都會算,因為微積分只有4件事:
2神掌:2個解題技巧
對所有數學式微分,不論其項數多少,其導數是各單項式導數之和。
若 f(x)= 4x3 + 3x2 + 2x + 1
則 f'(x)= f'(4x3)+ f'(3x2)+ f'(2x)
+ f'(1)
同前注
所有單項式導數都可以運用「指數規則」求得。
故 f'(x)= 12x2 + 6x + 2
而積分,就是微分的相反。
2
心經:2個抽象思考
微分就是斜率「長/寬」,積分就是「斜率×寬」之乘積的累積和。會除法、就一定會乘法;所以,會微分,就一定會積分。
以上成立的原因,只是建立「趨近於0,等於0」的觀念。並不難,只是除了牛頓,並沒有人想到,更可能是,沒有人去想。
|
牛頓-與其他歷史上的思想家-怎麼想?
以上我們發明微積分,其實還不到 70 分鐘,因為統雄老師不僅要示範微積分「是什麼」、牛頓的技術與結論;更重要的是討論微積分「為什麼」、牛頓的思想與知識產生的過程,包括對:基礎知識 VS. 應用知識 / 創新知識 VS. 演化知識 / 知識光譜 VS. 框架知識的領悟。
本工作坊不僅是「馬上發明微積分」,更是要領悟微積分是一種思想過程!
統雄數學樂學/統計神掌易經筋-問卷




